Artificial Neural Networks architect
Neurocomputational models
Neuro-simulator ANNarchy
Rate-coded networks
Spiking networks
Computational neuroscience is about explaining brain functioning at various levels (neural activity patterns, behavior, etc.) using biologically realistic neuro-computational models.
Different types of neural and synaptic mathematical models are used in the field, abstracting biological complexity at different levels.
There is no “right” level of biological plausibility for a model - you can always add more details -, but you have to find a paradigm that allows you to:

\tau \, \frac{d v(t)}{dt} + v(t) = \sum_{i=1}^d w_{i, j} \, r_i(t) + b
r(t) = f(v(t))

C \, \frac{d v(t)}{dt} = - g_L \, (v(t) - V_L) + I(t)
\text{if} \; v(t) > V_T \; \text{emit a spike and reset.}

\begin{cases} \displaystyle\frac{dv}{dt} = 0.04 \, v^2 + 5 \, v + 140 - u + I \\ \\ \displaystyle\frac{du}{dt} = a \, (b \, v - u) \\ \end{cases}
\begin{cases} \begin{aligned} C \, \frac{dv}{dt} = -g_L \ (v - E_L) + & g_L \, \Delta_T \, \exp(\frac{v - v_T}{\Delta_T}) \\ & + I - w \end{aligned}\\ \\ \tau_w \, \displaystyle\frac{dw}{dt} = a \, (v - E_L) - w\\ \end{cases}

Biological neurons do not all respond the same to an input current: Some fire regularly, some slow down with time., some emit bursts of spikes…
Modern spiking neuron models allow to recreate these dynamics by changing just a few parameters.



Oscillations at the population level.
Excitatory/inhibitory balance.
Spatio-temporal separation of inputs (reservoir computing).

When an axon of cell A is near enough to excite a cell B and repeatedly or persistently takes part in firing it, some growth process or metabolic change takes place in one or both cells such that A’s efficiency, as one of the cells firing B, is increased.
Donald Hebb, 1949
\frac{dw}{dt} = \eta \, r^\text{pre} \, r^\text{post}
\frac{dw}{dt} = \eta \, r^\text{pre} \, r^\text{post} \, (r^\text{post} - \mathbb{E}[(r^\text{post})^2])
\frac{dw}{dt} = \eta \, r^\text{pre} \, (r^\text{post} - \mathbb{E}[r^\text{post}])
\frac{dw}{dt}= \eta \, r^\text{pre} \, r^\text{post} - \alpha \, (r^\text{post})^2 \, w
or virtually anything depending only on the pre- and post-synaptic firing rates, e.g. Vitay and Hamker (2010):
\begin{aligned} \frac{dw}{dt} & = \eta \, ( \text{DA}(t) - \overline{\text{DA}}) \, (r^\text{post} - \mathbb{E}[r^\text{post}] )^+ \, (r^\text{pre} - \mathbb{E}[r^\text{pre}])- \alpha(t) \, ((r^\text{post} - \mathbb{E}[r^\text{post}] )^+ )^2 \, w \end{aligned}
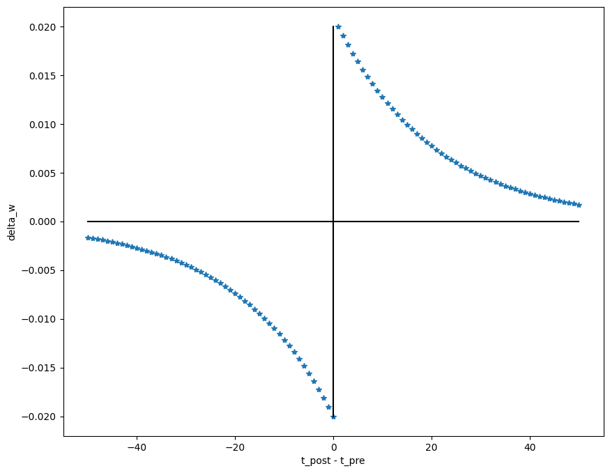
Synaptic efficiencies actually evolve depending on the the causation between the neuron’s firing patterns:
If the pre-synaptic neuron fires before the post-synaptic one, the weight is increased (long-term potentiation). Pre causes Post to fire.
If it fires after, the weight is decreased (long-term depression). Pre does not cause Post to fire.

Bi and Poo (2001) Synaptic Modification by Correlated Activity: Hebb’s Postulate Revisited. Annual Review of Neuroscience 24.
\frac{dw}{dt} = \begin{cases} A^+ \, \exp - \frac{t_\text{pre} - t_\text{post}}{\tau^+} \; \text{if} \; t_\text{post} > t_\text{pre}\\ \\ A^- \, \exp - \frac{t_\text{pre} - t_\text{post}}{\tau^-} \; \text{if} \; t_\text{pre} > t_\text{post}\\ \end{cases}
STDP can be implemented online using traces.
More complex variants of STDP (triplet STDP) exist, but this is the main model of synaptic plasticity in spiking networks.

Bi and Poo (2001) Synaptic Modification by Correlated Activity: Hebb’s Postulate Revisited. Annual Review of Neuroscience 24.
Populations of neurons can be combined in functional neuro-computational models learning to solve various tasks.
Need to implement one (or more) equations per neuron and synapse. There can thousands of neurons and millions of synapses, see Teichmann et al. (2021).
Fixed libraries of models
NEURON
https://neuron.yale.edu/neuron/
NEST
https://nest-initiative.org/
GeNN
https://genn-team.github.io/genn/
Auryn
https://fzenke.net/auryn/doku.php
Code generation
Brian
https://briansimulator.org/
Brian2CUDA
https://github.com/brian-team/brian2cuda
ANNarchy
https://github.com/ANNarchy/ANNarchy
Vitay et al. (2015)
ANNarchy: a code generation approach to neural simulations on parallel hardware.
Frontiers in Neuroinformatics 9. doi:10.3389/fninf.2015.00019
Installation guide: https://annarchy.github.io/Installation/
Using pip:
From source:
Requirements (Linux and MacOS):
Simulation of both rate-coded and spiking neural networks.
Only local biologically realistic mechanisms are possible (no backpropagation).
Equation-oriented description of neural/synaptic dynamics (à la Brian).
Code generation in C++, parallelized using OpenMP on CPU and CUDA on GPU (MPI is coming).
Synaptic, intrinsic and structural plasticity mechanisms.
import ANNarchy as ann
# Create neuron types
neuron = ann.Neuron(...)
# Create synapse types for transmission and/or plasticity
stdp = ann.Synapse(...)
# Create populations of neurons
pop = ann.Population(1000, neuron)
# Connect the populations through projections
proj = ann.Projection(pop, pop, 'exc', stdp)
proj.connect_fixed_probability(weights=ann.Uniform(0.0, 1.0), probability=0.1)
# Generate and compile the code
ann.compile()
# Record spiking activity
m = ann.Monitor(pop, ['spike'])
# Simulate for 1 second
ann.simulate(1000.)
\tau \frac{dx(t)}{dt} + x(t) = \sum w^\text{in} \, r^\text{in}(t) + g \, \sum w^\text{rec} \, r(t) + \xi(t)
r(t) = \tanh(x(t))
parameters = """
tau = 30.0 : population # Time constant
g = 1.0 : population # Scaling
noise = 0.01 : population # Noise level
"""All parameters used in the equations must be declared in the Neuron definition.
Parameters can have one value per neuron in the population (default) or be common to all neurons (flag population or projection).
Parameters and variables are double floats by default, but the type can be specified (int, bool).
equations="""
tau * dx/dt + x = sum(in) + g * sum(exc) + noise * Uniform(-1, 1) : init=0.0
r = tanh(x)
"""Variables are evaluated at each time step in the order of their declaration, except for coupled ODEs.
The output variable of a rate-coded neuron must be named r.
Variables can be updated with assignments (=, +=, etc) or by defining first order ODEs.
The math C library symbols can be used (tanh, cos, exp, etc).
Initial values at the start of the simulation can be specified with init (default: 0.0).
Lower/higher bounds on the values of the variables can be set with the min/max flags:
r = x : min=0.0 # ReLU
Uniform, Normal, LogNormal, Exponential, Gamma…sympy:dt) for all neurons:Several numerical methods are available:
PopulationView and can be addressed separately:Each target ('exc', 'inh', 'AMPA', 'NMDA', 'GABA') can be defined as needed and will be treated differently by the post-synaptic neurons.
The weighted sum of inputs for a specific target is accessed in the equations by sum(target):
Projections must be populated with a connectivity matrix (who is connected to who), a weight w and optionally a delay d (uniform or variable).
Several patterns are predefined:
proj.connect_all_to_all(weights=Normal(0.0, 1.0), delays=2.0, allow_self_connections=False)
proj.connect_one_to_one(weights=1.0, delays=Uniform(1.0, 10.0))
proj.connect_fixed_number_pre(number=20, weights=1.0)
proj.connect_fixed_number_post(number=20, weights=1.0)
proj.connect_fixed_probability(probability=0.2, weights=1.0)
proj.connect_gaussian(amp=1.0, sigma=0.2, limit=0.001)
proj.connect_dog(amp_pos=1.0, sigma_pos=0.2, amp_neg=0.3, sigma_neg=0.7, limit=0.001)You can now manipulate all parameters/variables from Python thanks to the Cython bindings.
A simulation is simply run for a fixed duration in milliseconds with:
https://annarchy.github.io/manual/Simulation.html#early-stopping
By default, a simulation is run in C++ without interaction with Python.
You may want to record some variables (neural or synaptic) during the simulation with a Monitor:
Calling get() flushes the underlying arrays.
Recording projections can quickly fill up the RAM…
\tau \frac{dx(t)}{dt} + x(t) = \sum_\text{input} W^\text{IN} \, r^\text{IN}(t) + g \, \sum_\text{rec} W^\text{REC} \, r(t) + \xi(t)
r(t) = \tanh(x(t))

Jaeger (2001) The “echo state” approach to analysing and training recurrent neural networks. Jacobs Universität Bremen.
Synapses can also implement plasticity rules that will be evaluated after each neural update.
Example of the Intrator & Cooper BCM learning rule:
\Delta w = \eta \, r^\text{pre} \, r^\text{post} \, (r^\text{post} - \mathbb{E}[(r^\text{post})^2])
IBCM = ann.Synapse(
parameters = """
eta = 0.01 : projection
tau = 2000.0 : projection
""",
equations = """
tau * dtheta/dt + theta = post.r^2 : postsynaptic, exponential
dw/dt = eta * post.r * (post.r - theta) * pre.r : min=0.0, explicit
""",
psp = "w * pre.r"
)Each synapse can access pre- and post-synaptic variables with pre. and post..
The postsynaptic flag allows to do computations only once per post-synaptic neurons.
psp optionally defines what will be summed by the post-synaptic neuron (e.g. psp = "w * log(pre.r)").
or for a single post-synaptic neuron:
Variant of the BCM (Bienenstock, Cooper, Munro, 1982) learning rule.
The LTP and LTD depend on post-synaptic activity: homeostasis.
\Delta w = \eta \, r^\text{pre} \, r^\text{post} \, (r^\text{post} - \mathbb{E}[(r^\text{post})^2])
Intrator and Cooper (1992) Objective function formulation of the BCM theory of visual cortical plasticity: Statistical connections, stability conditions. Neural Networks, 5(1).
e_{i, j}(t) = e_{i, j}(t-1) + (r_i (t) \, x_j(t))^3
\Delta w_{i, j} = - \eta \, e_{i, j}(T) \, (R -R_\text{mean})

Miconi (2017) Biologically plausible learning in recurrent neural networks reproduces neural dynamics observed during cognitive tasks. eLife. doi:10.7554/eLife.20899
Spiking neurons must also define two additional fields:
spike: condition for emitting a spike.
reset: what happens after a spike is emitted (at the start of the refractory period).
A refractory period in ms can also be specified.

C \, \frac{d v(t)}{dt} = - g_L \, (v(t) - V_L) + I(t)
\text{if} \; v(t) > V_T \; \text{emit a spike and reset.}
\tau \cdot \frac{dv (t)}{dt} = E_l - v(t) + g_\text{exc} (t) \, (E_\text{exc} - v(t)) + g_\text{inh} (t) \, (E_\text{inh} - v(t)) + I(t)

Brette and Gerstner (2005) Adaptive Exponential Integrate-and-Fire Model as an Effective Description of Neuronal Activity. Journal of Neurophysiology 94.
g_target (e.g. g_exc or g_inh, depending on the projection).LIF = Neuron(
parameters = "...",
equations = """
C*dv/dt = g_L*(E_L - v) + g_exc : init=E_L
""",
spike = "v >= v_T",
reset = "v = v_r",
refractory = 2.0
)g_target from the synaptic efficiency w of the corresponding synapse.g_target += w

For exponentially-decreasing or alpha-shaped synapses, ODEs have to be introduced for the conductance/current.
The exponential numerical method should be preferred, as integration is exact.


\tau \, \frac{dv (t)}{dt} = E_l - v(t) + g_\text{exc} (t) \, (E_\text{exc} - v(t)) + g_\text{inh} (t) \, (E_\text{inh} - v(t)) + I(t)
Vogels and Abbott (2005) Signal propagation and logic gating in networks of integrate-and-fire neurons. The Journal of neuroscience 25.
Spiking synapses can define a pre_spike field, defining what happens when a pre-synaptic spike arrives at the synapse.
g_target is an alias for the corresponding post-synaptic conductance: it will be replaced by g_exc or g_inh depending on how the synapse is used.
By default, a pre-synaptic spike increments the post-synaptic conductance from w: g_target += w
STP = ann.Synapse(
parameters = """
tau_rec = 100.0 : projection
tau_facil = 0.01 : projection
U = 0.5
""",
equations = """
dx/dt = (1 - x)/tau_rec : init = 1.0, event-driven
du/dt = (U - u)/tau_facil : init = 0.5, event-driven
""",
pre_spike="""
g_target += w * u * x
x *= (1 - u)
u += U * (1 - u)
"""
)
Tsodyks and Markram (1997) The neural code between neocortical pyramidal neurons depends on neurotransmitter release probability. PNAS 94.
post_spike similarly defines what happens when a post-synaptic spike is emitted.STDP = ann.Synapse(
parameters = """
tau_plus = 20.0 : projection ; tau_minus = 20.0 : projection
A_plus = 0.01 : projection ; A_minus = 0.01 : projection
w_min = 0.0 : projection ; w_max = 1.0 : projection
""",
equations = """
tau_plus * dx/dt = -x : event-driven # pre-synaptic trace
tau_minus * dy/dt = -y : event-driven # post-synaptic trace
""",
pre_spike="""
g_target += w
x += A_plus * w_max
w = clip(w + y, w_min , w_max)
""",
post_spike="""
y -= A_minus * w_max
w = clip(w + x, w_min , w_max)
""")\begin{cases} \tau^+ \, \dfrac{d x(t)}{dt} = -x(t) \\ \\ \tau^- \, \dfrac{d y(t)}{dt} = -y(t) \\ \end{cases}


Bi and Poo (2001) Synaptic Modification by Correlated Activity: Hebb’s Postulate Revisited. Annual Review of Neuroscience 24.
Standard populations (SpikeSourceArray, TimedArray, PoissonPopulation, HomogeneousCorrelatedSpikeTrains), OpenCV bindings.
Standard neurons:
Standard synapses:
Parallel simulations with parallel_run.
Convolutional and pooling layers.
Hybrid rate-coded / spiking networks.
Structural plasticity.
BOLD monitors.
Tensorboard visualization.
ANN (keras) to SNN conversion tool.