#!pip install ANNarchySTDP - single synapse
This notebook demonstrates the online implementation of the spike time-dependent plasticity (STDP) rule for a pair of neurons.
import numpy as np
import ANNarchy as ann
import matplotlib.pyplot as pltANNarchy 4.8 (4.8.2) on darwin (posix).
The STDP learning rule maintains exponentially-decaying traces for the pre-synaptic and post-synaptic spikes.
\tau^+ \, \frac{d x(t)}{dt} = -x (t)
\tau^- \, \frac{d y(t)}{dt} = -x (t)
LTP and LTD occur at spike times depending on the corresponding traces.
- When a pre-synaptic spike occurs, x(t) is incremented and LTD is applied proportionally to y(t).
- When a post-synaptic spike occurs, y(t) is incremented and LTP is applied proportionally to x(t).
STDP = ann.Synapse(
parameters = """
tau_plus = 20.0 : projection ; tau_minus = 20.0 : projection
A_plus = 0.01 : projection ; A_minus = 0.01 : projection
w_min = 0.0 : projection ; w_max = 2.0 : projection
""",
equations = """
tau_plus * dx/dt = -x : event-driven # pre-synaptic trace
tau_minus * dy/dt = -y : event-driven # post-synaptic trace
""",
pre_spike="""
g_target += w
x += A_plus * w_max
w = clip(w - y, w_min , w_max) # LTD
""",
post_spike="""
y += A_minus * w_max
w = clip(w + x, w_min , w_max) # LTP
"""
)We create two dummy populations with one neuron each, whose spike times we can control.
pre = ann.SpikeSourceArray([[0.]])
post = ann.SpikeSourceArray([[50.]])We connect the population using a STDP synapse.
proj = ann.Projection(pre, post, 'exc', STDP)
proj.connect_all_to_all(1.0)<ANNarchy.core.Projection.Projection at 0x1291c8ec0>
ann.compile()Compiling ... OK
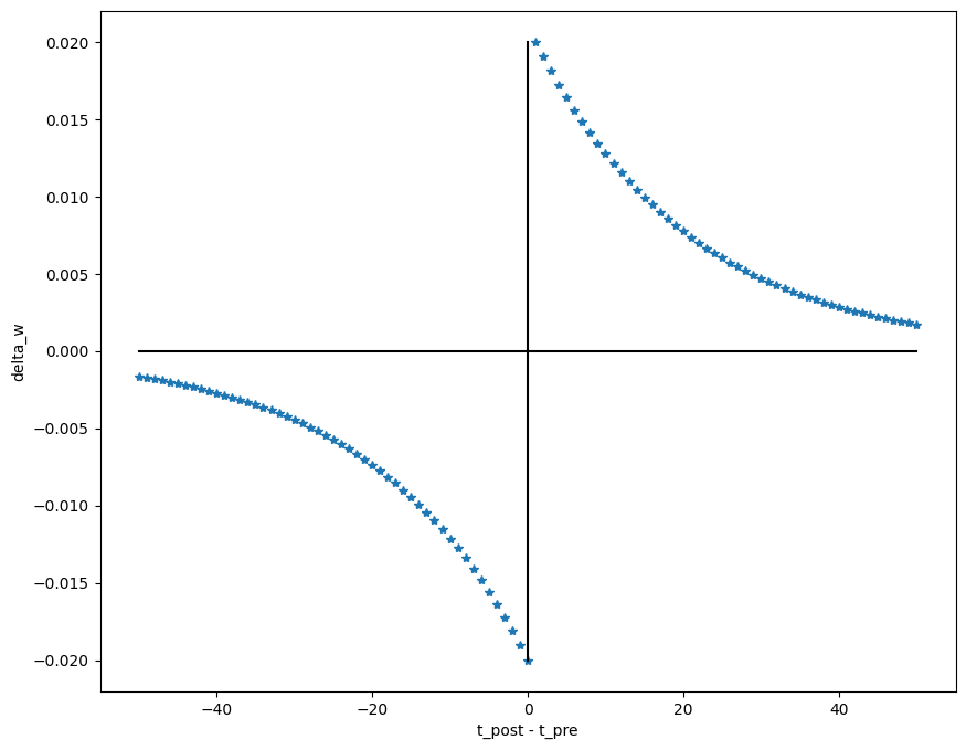
The presynaptic neuron will fire at avrious times between 0 and 100 ms, while the postsynaptic neuron keeps firing at 50 ms.
pre_times = np.linspace(100.0, 0.0, 101)weight_changes = []
for t_pre in pre_times:
# Reset the populations
pre.clear()
post.clear()
pre.spike_times = [[t_pre]]
post.spike_times = [[50.0]]
# Reset the traces
proj.x = 0.0
proj.y = 0.0
# Weight before the simulation
w_before = proj[0].w[0]
# Simulate long enough
ann.simulate(105.0)
# Record weight change
delta_w = proj[0].w[0] - w_before
weight_changes.append(delta_w)We can now plot the classical STDP figure:
plt.figure(figsize=(10, 8))
plt.plot(50. - pre_times, weight_changes, "*")
plt.plot([-50, 50], [0, 0], 'k')
plt.plot([0, 0], [min(weight_changes), max(weight_changes)], 'k')
plt.xlabel("t_post - t_pre")
plt.ylabel("delta_w")
plt.show()

